Venetoclax Related Products

Venkatasai is a leading innovator in the field of pharmaceutical reference standards, offering high-quality Reference Standards of Abacavir, including both pharmacopeial and non-pharmacopeial impurities, metabolites, stable isotope-labeled compounds, and nitrosamines (N-NO products). Our Abacavir impurity reference standards play a vital role in pharmaceutical research, supporting product development, ANDA and DMF filings, quality control (QC), method validation, and stability studies. They are also instrumental in identifying unknown impurities and evaluating genotoxic potential. All Abacavir-related products are thoroughly characterized and supplied with comprehensive Certificates of Analysis (COA) and analytical data that comply with regulatory standards. EP/USP traceable standards can also be provided upon request. Furthermore, all supplied products undergo periodic re-testing to ensure continued quality and reliability.

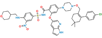
Deschloro Venetoclax impurity

CAT No: VS-V017001
CAS No: N/A
Mol.F.: C45H51N7O7S
Mol.Wt.: 834
Status: Custom Synthesis

Deschloro Venetoclax Impurity

CAT No: VS-V017048
CAS No: 2573767-91-4
Mol.F.: C45H51N7O7S
Mol.Wt.: 834
Status: Custom Synthesis

Tert-butyl piperazine-1-carboxylate

CAT No: VS-V017059
CAS No: 57260-71-6
Mol.F.: C9H18N2O2
Mol.Wt.: 186.26
Status: Custom Synthesis

Venetoclax

CAT No: VS-V017000
CAS No: 1257044-40-8
Mol.F.: C45H50ClN7O7S 
Mol.Wt.: 868.5
Status: Custom Synthesis

Venetoclax Acid Amide Dimer Impurity

CAT No: VS-V017026
CAS No: N/A
Mol.F.: C78H83Cl2N11O9S
Mol.Wt.: 1421.6
Status: Custom Synthesis

Venetoclax Acyl Urea Impurity 1

CAT No: VS-V017012
CAS No: N/A
Mol.F.: C41H52ClN7O3
Mol.Wt.: 726.4
Status: Custom Synthesis

Venetoclax Acyl Urea Impurity 2

CAT No: VS-V017013
CAS No: N/A
Mol.F.: C41H52ClN7O3
Mol.Wt.: 726.4
Status: Custom Synthesis

Venetoclax Chloro Coupled Acid Impurity

CAT No: VS-V017005
CAS No: N/A
Mol.F.: C52H61ClN6O3
Mol.Wt.: 853.5
Status: Custom Synthesis

Venetoclax Chloro Coupled Impurity

CAT No: VS-V017009
CAS No: N/A
Mol.F.: C64H76ClN9O7S
Mol.Wt.: 1150.9
Status: Custom Synthesis

Venetoclax Desfluoro Acid Impurity

CAT No: VS-V017004
CAS No: N/A
Mol.F.: C15H12N2O3
Mol.Wt.: 268.3
Status: Custom Synthesis

Venetoclax Desfluoro Impurity

CAT No: VS-V017008
CAS No: N/A
Mol.F.: C26H25N5O7S
Mol.Wt.: 551.6
Status: Custom Synthesis

VENETOCLAX IMPURITY - II

CAT No: VS-V017057
CAS No: N/A
Mol.F.: C46H52ClN7O8S
Mol.Wt.: 898.47
Status: Custom Synthesis

VENETOCLAX IMPURITY - III

CAT No: VS-V017002
CAS No: N/A
Mol.F.: C45H50ClN7O8S
Mol.Wt.: 884.5
Status: Custom Synthesis

Venetoclax impurity 1

CAT No: VS-V017041
CAS No: N/A
Mol.F.: C45H50ClN7O8S
Mol.Wt.: 884.4
Status: Custom Synthesis

Venetoclax Impurity 10

CAT No: VS-V017024
CAS No: 2573767-90-3
Mol.F.: C26H24FN5O7S
Mol.Wt.: 569.6
Status: Custom Synthesis

Venetoclax Impurity 11

CAT No: VS-V017025
CAS No: N/A
Mol.F.: C47H52ClN7O8S
Mol.Wt.: 910.5
Status: Custom Synthesis

Venetoclax Impurity 13

CAT No: VS-V017027
CAS No: N/A
Mol.F.: C71H73ClN12O14S2
Mol.Wt.: 1418
Status: Custom Synthesis

Venetoclax Impurity 14

CAT No: VS-V017028
CAS No: N/A
Mol.F.: C23H16F2N2O5
Mol.Wt.: 438.4
Status: Custom Synthesis

Venetoclax Impurity 15

CAT No: VS-V017029
CAS No: N/A
Mol.F.: C19H27ClN2O
Mol.Wt.: 334.9
Status: Custom Synthesis

Venetoclax Impurity 16

CAT No: VS-V017030
CAS No: 2142574-09-0
Mol.F.: C14H9FN2O3
Mol.Wt.: 272.2
Status: Custom Synthesis

Venetoclax Impurity 17

CAT No: VS-V017031
CAS No: N/A
Mol.F.: C15H11FN2O3
Mol.Wt.: 286.3
Status: Custom Synthesis

Venetoclax Impurity 18

CAT No: VS-V017032
CAS No: N/A
Mol.F.: C13H18N2O6S
Mol.Wt.: 330.4
Status: Custom Synthesis

Venetoclax Impurity 19

CAT No: VS-V017033
CAS No: N/A
Mol.F.: C12H16N2O6S
Mol.Wt.: 316.3
Status: Custom Synthesis

Venetoclax Impurity 2

CAT No: VS-V017016
CAS No: 2247750-11-2
Mol.F.: C45H52ClN7O5S 
Mol.Wt.: 838.5
Status: Custom Synthesis

Venetoclax Impurity 21

CAT No: VS-V017034
CAS No: N/A
Mol.F.: C41H52ClN7O3
Mol.Wt.: 726.4
Status: Custom Synthesis

Venetoclax Impurity 22

CAT No: VS-V017035
CAS No: N/A
Mol.F.: C41H52ClN7O3
Mol.Wt.: 726.4
Status: Custom Synthesis

Venetoclax Impurity 23

CAT No: VS-V017036
CAS No: 2270190-88-8
Mol.F.: C78H83Cl2N11O9S
Mol.Wt.: 1421.6
Status: Custom Synthesis

Venetoclax Impurity 24

CAT No: VS-V017037
CAS No: N/A
Mol.F.: C48H45ClN6O5
Mol.Wt.: 821.4
Status: Custom Synthesis

Venetoclax Impurity 25

CAT No: VS-V017038
CAS No: N/A
Mol.F.: C16H26N2OSi
Mol.Wt.: 290.5
Status: Custom Synthesis

Venetoclax Impurity 26

CAT No: VS-V017039
CAS No: N/A
Mol.F.: C16H26N2OSi
Mol.Wt.: 290.5
Status: Custom Synthesis

Venetoclax Impurity 29

CAT No: VS-V017042
CAS No: N/A
Mol.F.: C90H100N14O14S2
Mol.Wt.: 1666
Status: Custom Synthesis

Venetoclax Impurity 3

CAT No: VS-V017017
CAS No: 1235865-75-4
Mol.F.: C15H11FN2O3
Mol.Wt.: 286.3
Status: Custom Synthesis

Venetoclax Impurity 30

CAT No: VS-V017043
CAS No: N/A
Mol.F.: C30H33N7O9S
Mol.Wt.: 667.7
Status: Custom Synthesis

Venetoclax Impurity 31

CAT No: VS-V017044
CAS No: 2180923-65-1
Mol.F.: C26H24BrN5O7S
Mol.Wt.: 630.5
Status: Custom Synthesis

Venetoclax Impurity 36

CAT No: VS-V017047
CAS No: 1235865-76-5
Mol.F.: C34H37ClN4O3
Mol.Wt.: 585.1
Status: Custom Synthesis

Venetoclax Impurity 37

CAT No: VS-V017049
CAS No: N/A
Mol.F.: C15H11FN2O3
Mol.Wt.: 286.26
Status: Custom Synthesis

Venetoclax Impurity 38

CAT No: VS-V017050
CAS No: 1228780-71-9
Mol.F.: C24H35ClN2O2
Mol.Wt.: 419.0
Status: Custom Synthesis

Venetoclax Impurity 39

CAT No: VS-V017051
CAS No: 858116-66-2
Mol.F.: C16H25BrN2Si
Mol.Wt.: 353.37
Status: Custom Synthesis

Venetoclax Impurity 4

CAT No: VS-V017018
CAS No: N/A
Mol.F.: C45H50ClN7O8S
Mol.Wt.: 884.5
Status: Custom Synthesis

Venetoclax Impurity 40

CAT No: VS-V017052
CAS No: N/A
Mol.F.: C16H27BN2O2Si
Mol.Wt.: 318.3
Status: Custom Synthesis

Venetoclax Impurity 41

CAT No: VS-V017053
CAS No: 685514-01-6
Mol.F.: C16H26N2OSi
Mol.Wt.: 290.48
Status: Custom Synthesis

Venetoclax Impurity 42

CAT No: VS-V017054
CAS No: N/A
Mol.F.: C24H31FN2O3Si
Mol.Wt.: 442.61
Status: Custom Synthesis

Venetoclax Impurity 43

CAT No: VS-V017055
CAS No: 1628047-87-9
Mol.F.: C19H27ClN2 : 2(HCl)
Mol.Wt.: 318.9 : 2(36.5)
Status: Custom Synthesis

Venetoclax Impurity 5

CAT No: VS-V017019
CAS No: N/A
Mol.F.: C45H50ClN7O8S
Mol.Wt.: 884.5
Status: Custom Synthesis

Venetoclax Impurity 6

CAT No: VS-V017020
CAS No: 1228779-96-1
Mol.F.: C12H17N3O5S
Mol.Wt.: 315.3
Status: In Stock

Venetoclax Impurity 7

CAT No: VS-V017021
CAS No: 1228837-05-5
Mol.F.: C15H17ClO
Mol.Wt.: 248.8
Status: Custom Synthesis

Venetoclax Impurity 8

CAT No: VS-V017022
CAS No: N/A
Mol.F.: C46H48ClN8O6S
Mol.Wt.: 876.4
Status: Custom Synthesis

Venetoclax Impurity 9

CAT No: VS-V017045
CAS No: 1235865-77-6
Mol.F.: C33H35ClN4O3
Mol.Wt.: 571.12
Status: Custom Synthesis

Venetoclax Impurity 9 (HCl salt)

CAT No: VS-V017023
CAS No: 2254393-29-6
Mol.F.: C33H35ClN4O3 : HCl
Mol.Wt.: 571.1 : 36.5
Status: Custom Synthesis

Venetoclax Impurity I

CAT No: VS-V017014
CAS No: 2514648-06-5
Mol.F.: C22H16N4O4
Mol.Wt.: 400.4
Status: Custom Synthesis

Venetoclax Impurity-K2G

CAT No: VS-V017060
CAS No: 2979-19-3
Mol.F.: C8H14O
Mol.Wt.: 126.2
Status: Custom Synthesis

Venetoclax Impurity-K3C

CAT No: VS-V017062
CAS No: 406233-31-6
Mol.F.: C6H5FN2O4S
Mol.Wt.: 220.2
Status: Custom Synthesis

Venetoclax Impurity-K3D

CAT No: VS-V017063
CAS No: 1493-27-2
Mol.F.: C6H4FNO2
Mol.Wt.: 141.1
Status: Custom Synthesis

Venetoclax Metabolite M27

CAT No: VS-V017015
CAS No: 2097938-69-5
Mol.F.: C45H48ClN7O8S 
Mol.Wt.: 882.4
Status: Custom Synthesis

Venetoclax N-coupled Acid Impurity

CAT No: VS-V017007
CAS No: N/A
Mol.F.: C47H43ClN6O6
Mol.Wt.: 823.3
Status: Custom Synthesis

Venetoclax N-Coupled Impurity

CAT No: VS-V017010
CAS No: N/A
Mol.F.: C71H73ClN12O14S2
Mol.Wt.: 1418
Status: Custom Synthesis

Venetoclax N-Hydroxy Acid Impurity

CAT No: VS-V017006
CAS No: N/A
Mol.F.: C33H35ClN4O4
Mol.Wt.: 587.1
Status: Custom Synthesis

Venetoclax Nitroso Impurity 4

CAT No: VS-V017046
CAS No: N/A
Mol.F.: C19H26ClN3O
Mol.Wt.: 347.9
Status: Custom Synthesis

Venetoclax Nitroso Impurity 5

CAT No: VS-V017056
CAS No: N/A
Mol.F.: C19H19N5O4
Mol.Wt.: 381.39
Status: Custom Synthesis

Venetoclax N-Oxide Impurity

CAT No: VS-V017011
CAS No: 2469279-00-1
Mol.F.: C45H50ClN7O8S
Mol.Wt.: 884.4
Status: In Stock

Venetoclax Oxalic Acid

CAT No: VS-V017003
CAS No: N/A
Mol.F.: C26H32N6O12S2 : 2(C6H15N)
Mol.Wt.: 684.7 : 2(101.2)
Status: Custom Synthesis

Venetoclax  Impurity-K2D

CAT No: VS-V017058
CAS No:  1228780-51-5
Mol.F.: C15H19ClO
Mol.Wt.: 250.8
Status: Custom Synthesis

Venetoclax  Impurity-K2F

CAT No: VS-V017040
CAS No: 1228943-80-3
Mol.F.: C9H13ClO
Mol.Wt.: 172.7
Status: Custom Synthesis

Venetoclax  impurity-K2I

CAT No: VS-V017061
CAS No: NA
Mol.F.: C19H27ClN2 : (HCl)
Mol.Wt.: 318.9 : (36.5)
Status: Custom Synthesis