- A
- B
- C
- D
- E
- F
- G
- H
- I
- J
- K
- L
- M
- N
- O
- P
- Q
- R
- S
- T
- U
- V
- W
- X
- Y
- Z
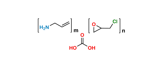
Sevelamer Carbonate
Chemical Name: (Poly(allylamine-co-N,N'-diallyl-1,3-diamino-2-hydroxypropane) carbonate salt)
Synonym: Carbonic Acid compound with prop-2-en-1-amine and 2-(chloromethyl)oxirane; Carbonic Acid, 2-(chloromethyl)oxirane, Prop-2-en-1-amine
Smile: OC(O)=O.C=CCN.ClC[C@@H]1OC1
Sevelamer Carbonate
| CAT No:: | VS-S075000 |
| CAS No: | 845273-93-0 |
| Mol.Wt.: | (C3H7N)m•(C3H5ClO)n•(CH2O3)x |
| Mol.Wt.: | NA |
| Status: | Custom Synthesis |
